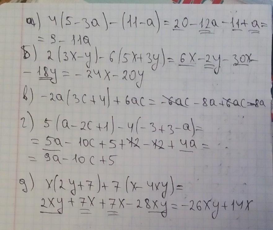
7а) 4 (5-3а) - (11-a)
7б) 2 (3x-y)- 6 (5x + 3y)
7в) - 2a (3с+4) + 6 ас
7г) 5 (a-2с+1)-4 (-3 +3 -a)
7д) x ( 2у + 7) + 7 (x- 4 ху) ПОЖАЛУЙСТА ПОМОГИТЕ ПРАВИЛЬНО РЕШИТЬ, ДЗ СРОЧНО, МАТЕМАТИЧКА УБЬЁТ
Ответы
Ответ дал:
2
Ответ:
надеюсь в этот раз не убьёт. ответ на фото))
Приложения:

valeriamalahatka:
Спасибо тебе большое
Вас заинтересует
2 года назад
2 года назад
2 года назад
2 года назад
7 лет назад
9 лет назад