Ответы
Ответ дал:
0
Ответ:
Пошаговое объяснение:
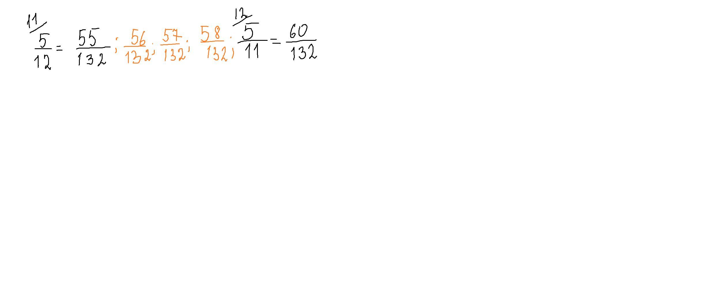
приведем эти дроби к общему знаменателю и увидим ,какие дроби можно записать,расположенные между данными.
решение смотри внизу
Приложения:

Ответ дал:
1
5/12 и 5/11
приведем к общему знаменателю
55/132 и 60/132
55/132 < 56/132, 57/132, 58/132,59/132 < 60/132
ответ 56/132, 57/132, 58/132,59/132
Вас заинтересует
2 года назад
2 года назад
7 лет назад
7 лет назад
9 лет назад