• Предмет: Математика
  • Автор: arujasaral04
  • Вопрос задан 3 года назад

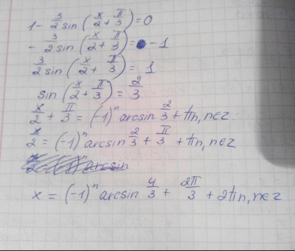
1) 1-3/2sin(x/2+π/3)=0
2) 4tg(2x-π/4)=1
3) ctg(π/3-1/4x)=5/12

Ответы

Ответ дал: ledydriada
1

Ответ:

ВІДПОВІДЬ НЕ МОЯ!

я її найшла )

Приложения:

arujasaral04: спосибо большое❤❤❤❤
Вас заинтересует