• Предмет: Математика
  • Автор: mahmetsayat
  • Вопрос задан 3 года назад

Помогите пожалуйста! ​

Приложения:

Ответы

Ответ дал: kedrovmisha00
1

Ответ:

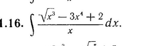
\frac{2}{3}\sqrt{x^3} - \frac{3}{4} x^4+2ln(x)+C

Пошаговое объяснение:

\int\frac{\sqrt{x^3}-3x^4+2}{x}dx = \int(\frac{x^{\frac{3}{2}} }{x} -\frac{3x^4}{x} +\frac{2}{x} )dx=\int (x^{\frac{1}{2}}-3x^3 + \frac{2}{x})dx = \frac{2}{3}x^{\frac{3}{2}} - \frac{3}{4}x^4+2 ln(x) + C = \frac{2}{3}\sqrt{x^3} - \frac{3}{4} x^4+2ln(x)+C


mahmetsayat: Спасибо.
Вас заинтересует