• Предмет: Математика
  • Автор: Аноним
  • Вопрос задан 3 года назад

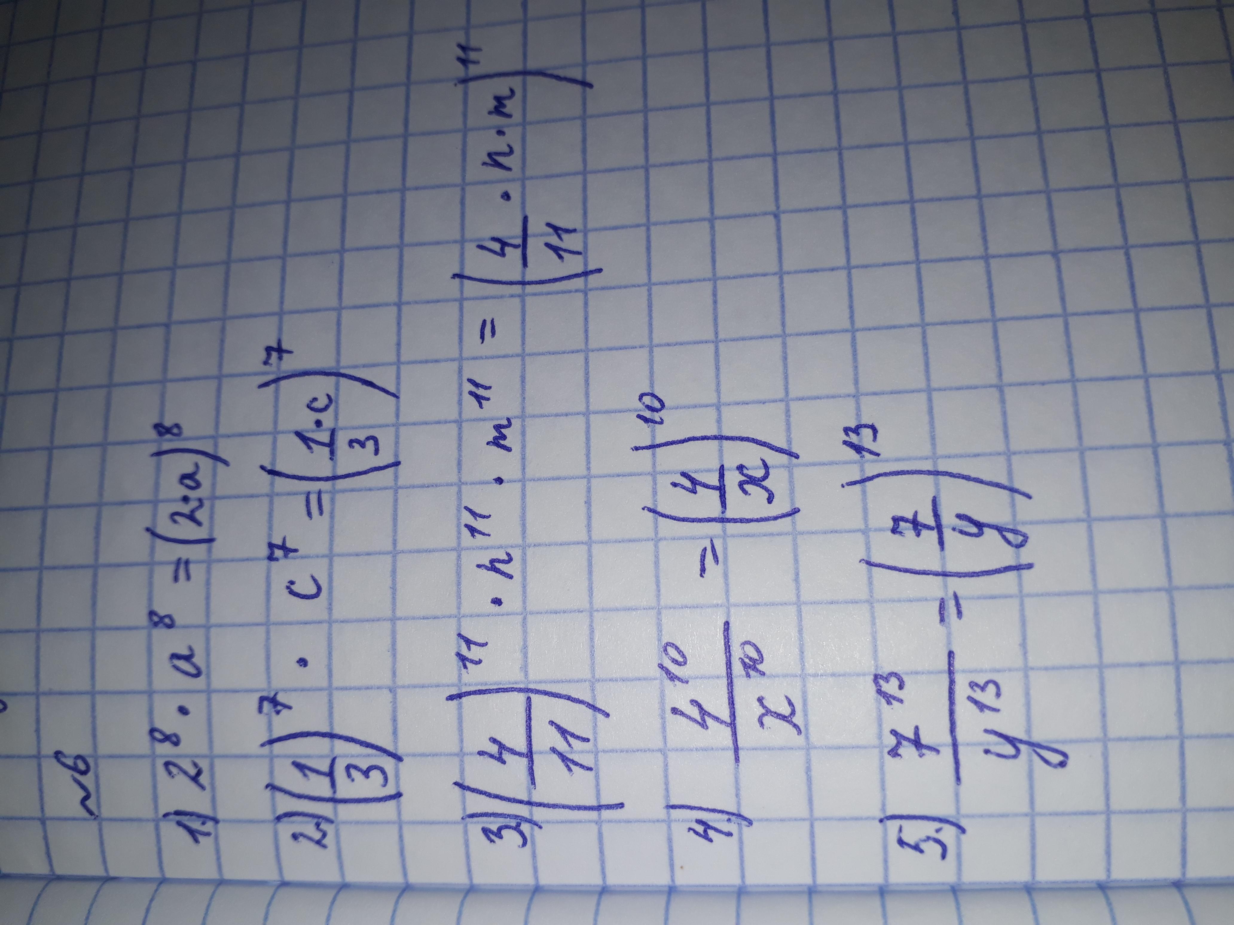
ЗАПИШИТЕ В СТЕПЕНИ ПРОИЗВЕДЕНИЯ ЧАСТНОГО:


ПОМОГИТЕ ПОЖАЛУЙСТА СРОЧНО ОЧЕНЬ НАДО​

Приложения:

Ответы

Ответ дал: yuliyagorbatova2012
0

Точно не уверенна, но вроде правильно

Приложения:
Вас заинтересует