• Предмет: Алгебра
  • Автор: 2568462
  • Вопрос задан 3 года назад

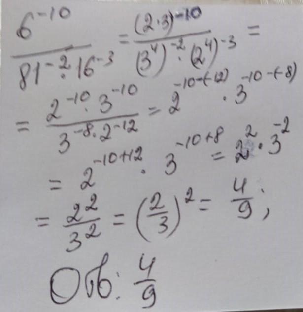
Решите пожалуйста 4 пример на фото

Приложения:

terikovramazan: все 4 или только 4 й ?
2568462: Только 4

Ответы

Ответ дал: terikovramazan
1

Ответ: 4/9

Объяснение:

Приложения:

2568462: От души)
Вас заинтересует