• Предмет: Алгебра
  • Автор: srymovazhuldyz5
  • Вопрос задан 3 года назад

Помогите кто можеет!! Көмектесіп жіберіңдерші Алгебра 9 класс!

Приложения:

Ответы

Ответ дал: teamcraft156
0

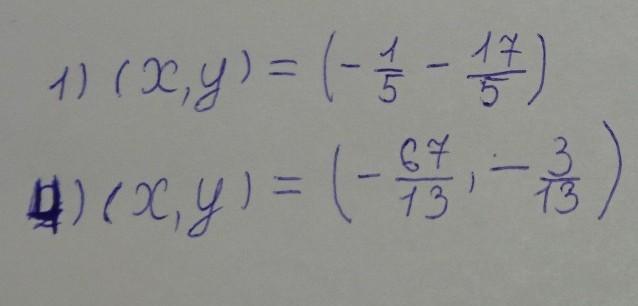
Ответ:

Прости что сделала не всё)

Приложения:
Вас заинтересует