• Предмет: Алгебра
  • Автор: Chelovetek
  • Вопрос задан 3 года назад

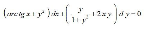
Помогите с решением дифференциального уравнения:

Приложения:

Ответы

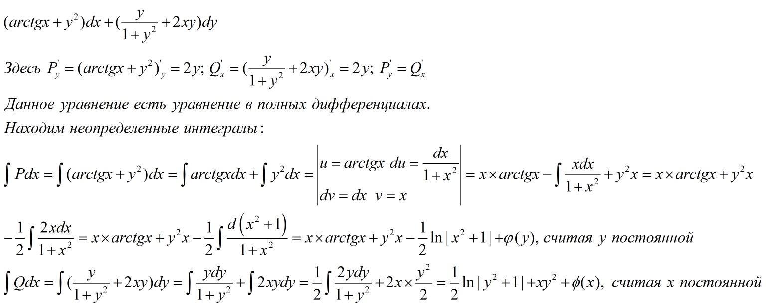
Ответ дал: palilov243659
1

Ответ:

Объяснение:

во вложении

прошу прощения, опечатка

надо∫Qdy, а не ∫Qdx

Приложения:
Вас заинтересует