• Предмет: Алгебра
  • Автор: gshshhsjsjs
  • Вопрос задан 3 года назад

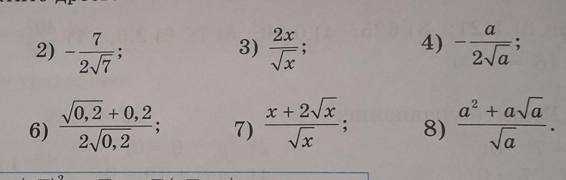
2,4,6,8 сократите эти дроби ​

Приложения:

Ответы

Ответ дал: Universalka
1

2)-\frac{7}{2\sqrt{7}}=-\frac{(\sqrt{7})^{2}}{2\sqrt{7}}=-\frac{\sqrt{7}}{2}\\\\4)-\frac{a}{2\sqrt{a}}=-\frac{(\sqrt{a})^{2}}{2\sqrt{a}}=-\frac{\sqrt{a}}{2}\\\\6)\frac{\sqrt{0,2}+ 0,2}{2\sqrt{0,2}}=\frac{\sqrt{0,2} +(\sqrt{0,2})^{2}}{2\sqrt{0,2}}=\frac{\sqrt{0,2}(1+\sqrt{0,2})}{2\sqrt{0,2}}=\frac{1+\sqrt{0,2}}{2}

8)\frac{a^{2}+a\sqrt{a}}{\sqrt{a}}=\frac{(\sqrt{a})^{4}+a\sqrt{a} }{\sqrt{a}}=\frac{\sqrt{a}[(\sqrt{a})^{3}+a]}{\sqrt{a}}=(\sqrt{a})^{3} +a=a\sqrt{a}+a

Вас заинтересует