• Предмет: Алгебра
  • Автор: barabanovaarina0
  • Вопрос задан 3 года назад

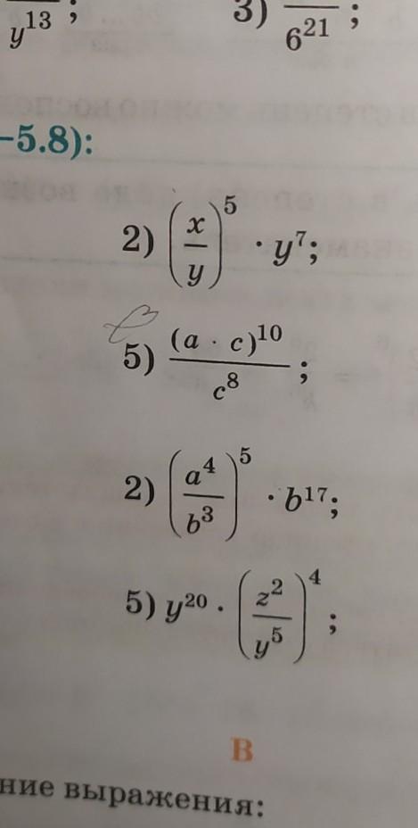
упростите номер 5.7 ​

Приложения:

Ответы

Ответ дал: manyny06
2

Ответ:

решение смотри на фотографии

Объяснение:

Приложения:

barabanovaarina0: спасибо
ragorat582: Здравствуйте,не могли бы помочь с 1 задачей по экономике ? https://znanija.com/task/38079398
Ответ дал: sangers1959
2

Объяснение:

2)\ (\frac{x}{y} )^5*y^7=\frac{x^5}{y^5} *y^7=\frac{x^5*y^7}{y^5}=x^5y^2.\\ 5)\ \frac{(a*c)^{10}}{c^8}=\frac{a^{10}*c^{10}}{c^8}=a^{10}*c^2.\\  2)\ (\frac{a^4}{b^3})^5*b^{17}= \frac{a^{20}}{b^{15}} *b^{17}=\frac{a^{20}*b^{17}}{b^{15}}=a^{20}b^2.\\ 5)\ y^{20}*(\frac{z^2}{y^5})^4=y^{20}*\frac{z^8}{y^{20}} =\frac{y^{20}*z^8}{y^{20}}=z^8.

Вас заинтересует