• Предмет: Алгебра
  • Автор: silinaamina331
  • Вопрос задан 3 года назад

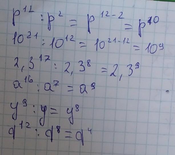
1,38. Выполните деление:
1) p12:p2
3) 1021:1012
5) 2, 317:2, 38
2) a16: а7
4) y9 : у
6) q12:q8​

Приложения:

Ответы

Ответ дал: qazwsxedc86
11

Ответ:

на фото........................

Приложения:
Вас заинтересует