• Предмет: Алгебра
  • Автор: Anomimus991
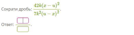
  • Вопрос задан 3 года назад

Алнебра легко 20 баллов

Приложения:

Somb: я хотела ответить
Аноним: Нахер мой ответ удалил
Аноним: он был правильный
Somb: был но не по теме

Ответы

Ответ дал: Somb
1

6/k хотела 6 написать


Аноним: Нахера мой правильный ответ удалили взамен этому херовому ответу
Аноним: !!!
Somb: знаю просто случ написала так
Somb: у тебя вообще ответа не было
Anomimus991: ++
Аноним: Он был
Аноним: 6/к
Аноним: В твоем ответе разница в одну цифру б***ь
Аноним: С**а Б***ь Е*****ка
Somb: хватит провоцировать
Вас заинтересует