• Предмет: Математика
  • Автор: aneshkasolnce
  • Вопрос задан 3 года назад

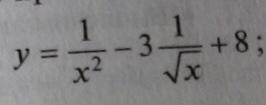
Найти производную функции

Приложения:

Ответы

Ответ дал: manyny06
0

Ответ:

решение смотри на фотографии

Пошаговое объяснение:

Приложения:
Вас заинтересует