• Предмет: Математика
  • Автор: nikolleta72
  • Вопрос задан 3 года назад

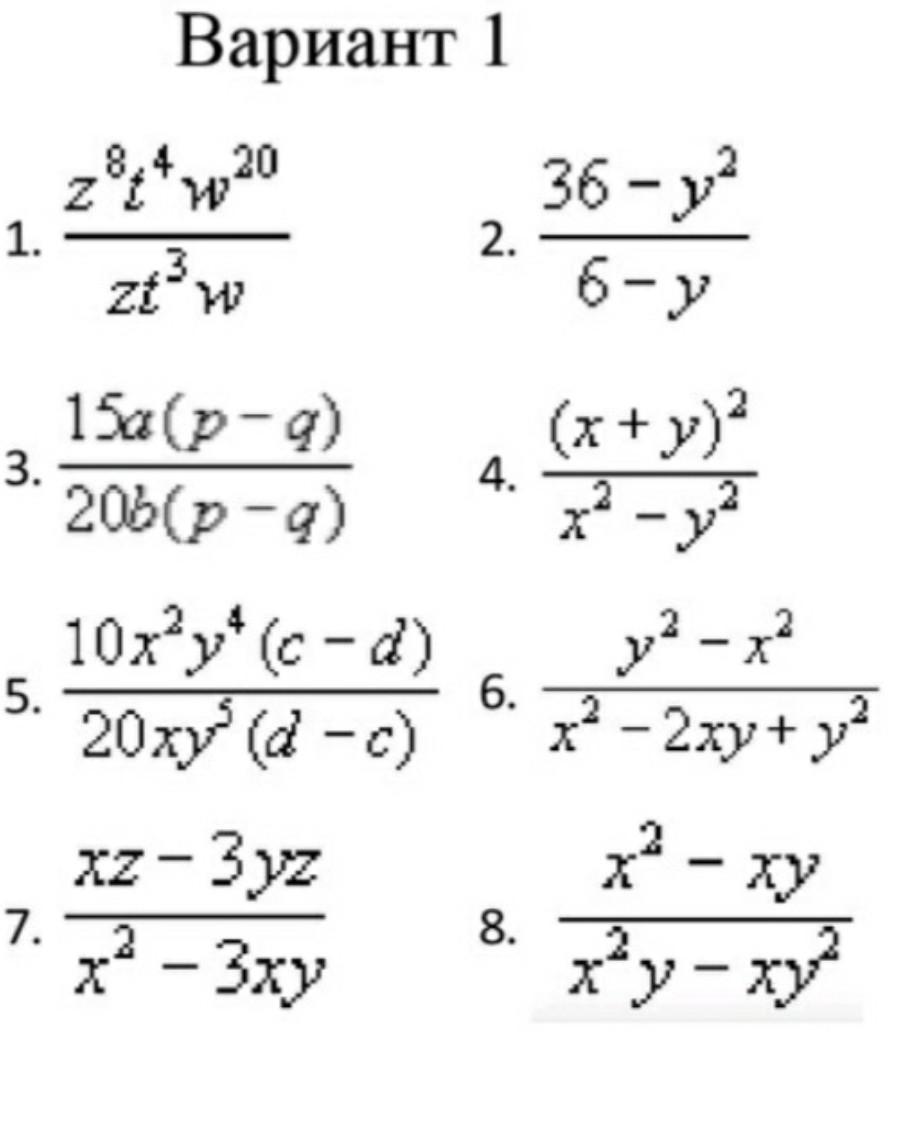
можно без объяснений ​

Приложения:

Ответы

Ответ дал: oselezneva84
0

Ответ:

Пошаговое объяснение:

1)z^7tw^19

2)6+y

3)3a/4b

4)(x+y)/(x-y)

5)-1/2xy^-1

6)- (y+x)/(y-x)

7)z/x

8)x/xy

Вас заинтересует