Ответы
Ответ дал:
1
Ответ:
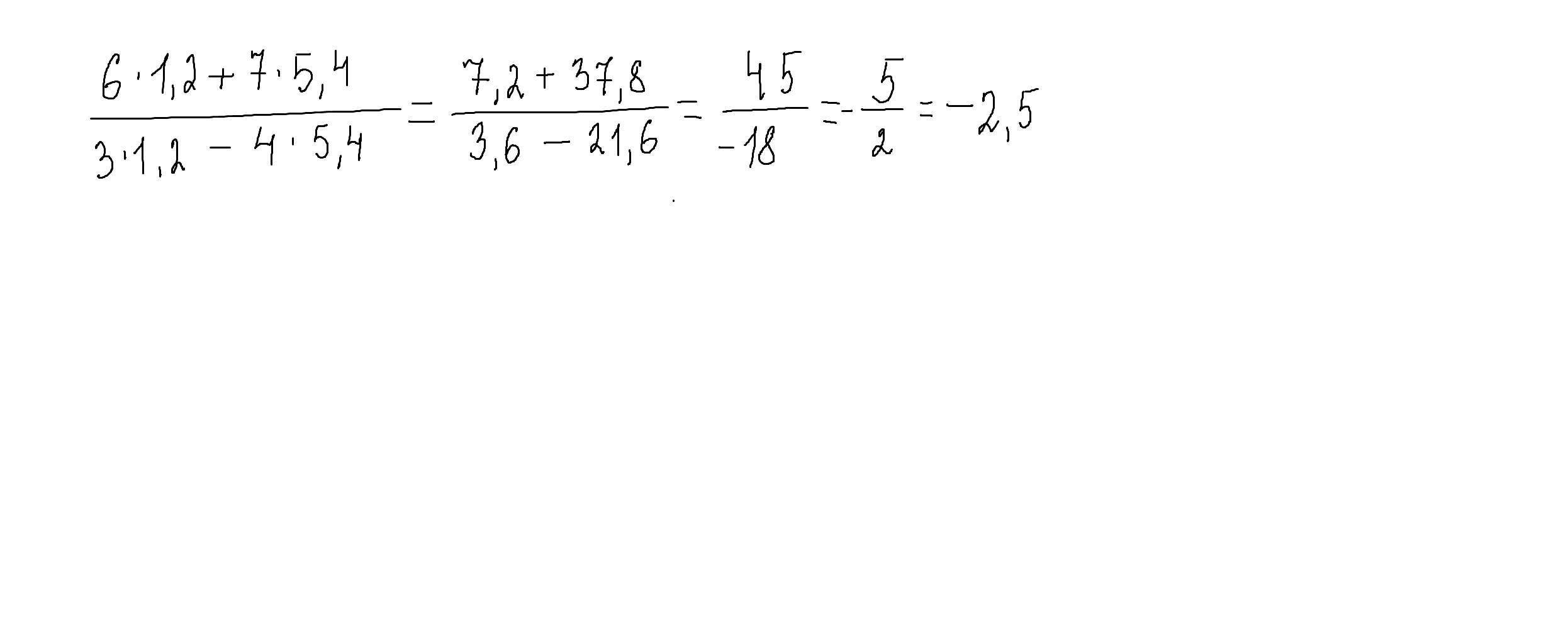
-2,5
Объяснение:
решение внизу
Приложения:

kristinalmao:
спасибо
Вас заинтересует
2 года назад
2 года назад
2 года назад
2 года назад
7 лет назад
7 лет назад
9 лет назад