Ответы
Ответ дал:
1
Ответ:
правильный ответ
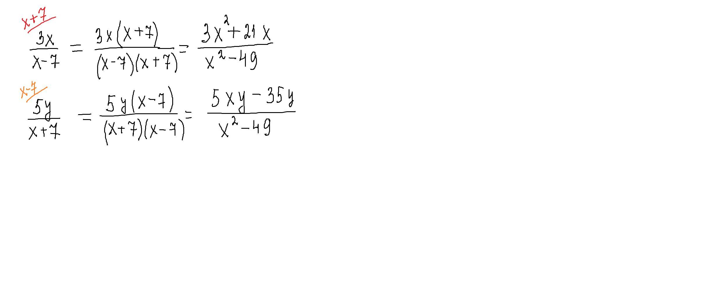
3) 3х²+21х/х²-49 и 5ух-32у/х²-49
Ответ дал:
1
Ответ:
верный ответ в 3 строчке
Пошаговое объяснение:
решение внизу
Приложения:

Вас заинтересует
2 года назад
2 года назад
2 года назад
2 года назад
7 лет назад
7 лет назад
9 лет назад
9 лет назад