• Предмет: Химия
  • Автор: imchukki
  • Вопрос задан 3 года назад

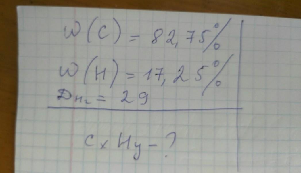
задание во вложении.​

Приложения:

Ответы

Ответ дал: Valery0210
0

Ответ:

C4H10

Объяснение:

M(CxHy)=29*2=58 г/моль

x=0,8275*58/12=4

y=0,1725*58/1=10

Вас заинтересует