8 КЛАСС СРОЧНО!! (Смотрите закреп)
Приложения:

Ляляляля109:
ответила в предыдущей твоей попытке
Ответы
Ответ дал:
0
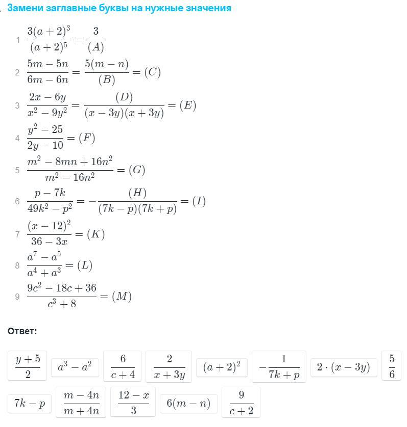
Ответ:
A ) 5 B) 12 C)8 D)7 E)4 F)1 G)10 H)9 I)6 K)11 L)2 M)13
Объяснение:
Вас заинтересует
2 года назад
2 года назад
7 лет назад
7 лет назад
9 лет назад
9 лет назад