• Предмет: Математика
  • Автор: kisa2721
  • Вопрос задан 3 года назад

СРОЧНО!!
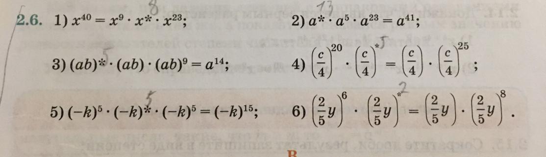
Вместо звёздочки запишите число чтобы были верными равенства, подробно распишите решение 

Приложения:

Ответы

Ответ дал: Денмен34
1

Ответ:

1) 8

2) 4

3) 5

4) 13

5) 6

6) 3

Все степени нужно просто сумировать в нашем случае, поскольку основные числа равны. В случае не записаной степени, как в третьем условии (ab) это считается как еденичная степень


kisa2721: Спасибо большое!)
Вас заинтересует