• Предмет: Математика
  • Автор: 3fgeirt4
  • Вопрос задан 3 года назад

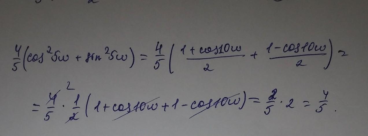
помогите плиz!!! Вычисли значение выражения

Приложения:

Ответы

Ответ дал: mralexeysokolov
0

Ответ:

4/5

Пошаговое объяснение:

4/5 * (cos (5w)^2 + sin(5w)^2)

4/5*1

ответ 4/5 альтернативная форма 0.8

Ответ дал: adumaj98
0

Ответ:

...................

Приложения:
Вас заинтересует