• Предмет: Математика
  • Автор: markov08011992
  • Вопрос задан 3 года назад

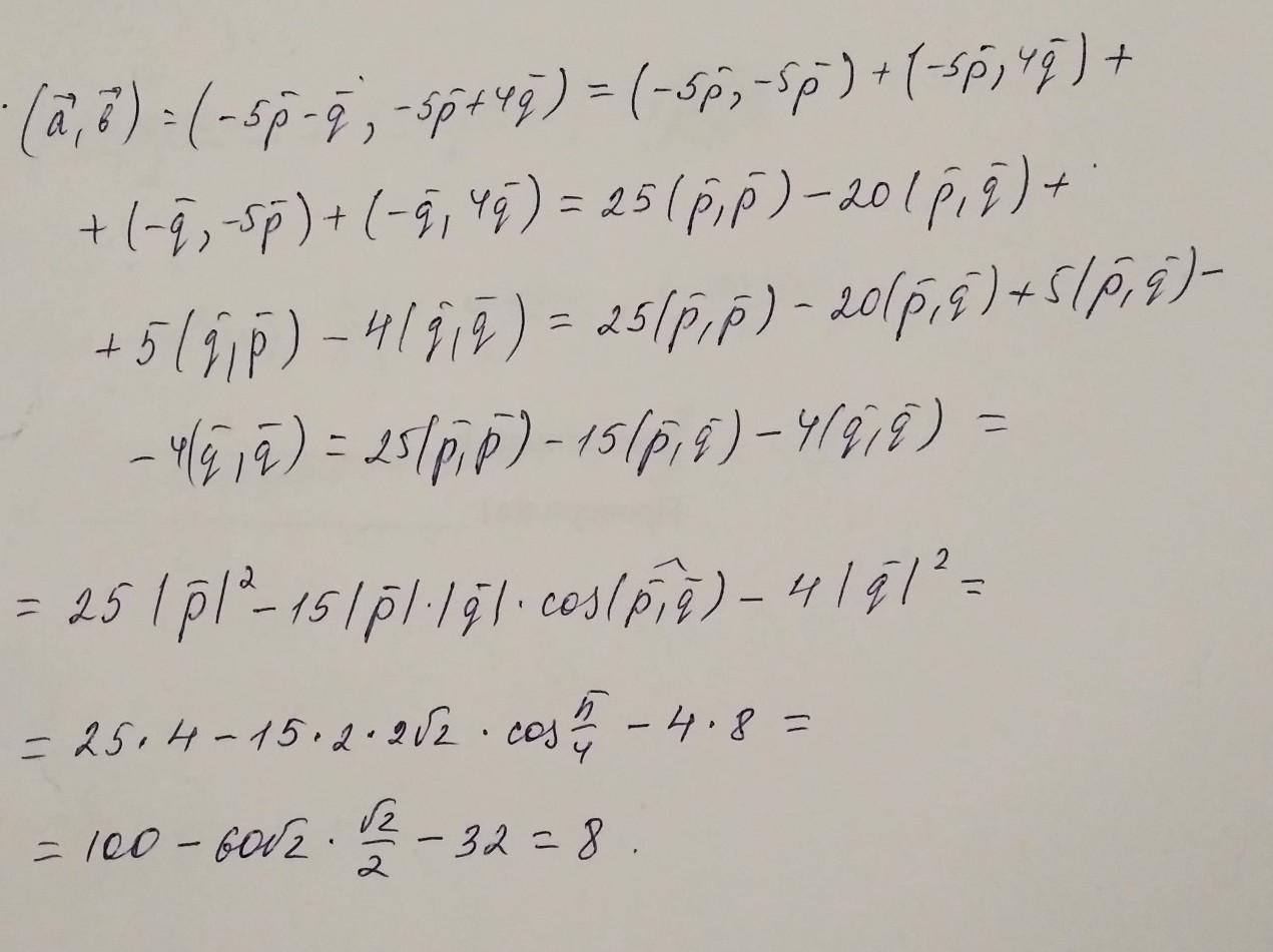
Задание: Найдите скалярное произведение векторов. Помогите решить пожалуйста.

Приложения:

Ответы

Ответ дал: adumaj98
1

Ответ:

.......................

Приложения:
Вас заинтересует