• Предмет: Геометрия
  • Автор: Аноним
  • Вопрос задан 3 года назад

////....../.........////././.././././.././​

Приложения:

Ответы

Ответ дал: kedrovmisha00
2

Ответ:

1

Объяснение:

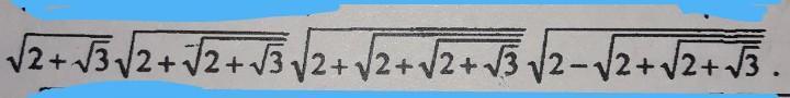
\sqrt{2+\sqrt3}}\sqrt{2+\sqrt{2+\sqrt3}}}\sqrt{2+\sqrt{2+\sqrt{2+\sqrt3}}}}\sqrt{2-\sqrt{2+\sqrt{2+\sqrt3}}}}=\\

=\sqrt{2+\sqrt3}}\sqrt{2+\sqrt{2+\sqrt3}}}\sqrt{{(2+\sqrt{2+\sqrt{2+\sqrt3}}})(2-\sqrt{2+\sqrt{2+\sqrt3}}})}=\\

=\sqrt{2+\sqrt3}\sqrt{2+\sqrt{2+\sqrt3}}\sqrt{4-(2+\sqrt{2+\sqrt3}})=\\

=\sqrt{2+\sqrt3}\sqrt{2+\sqrt{2+\sqrt3}}\sqrt{2-\sqrt{2+\sqrt3}}=\\=\sqrt{2+\sqrt3}\sqrt{(2+\sqrt{2+\sqrt3})(2-\sqrt{2+\sqrt3})}=\\

=\sqrt{2+\sqrt3}}\sqrt{4-(2+\sqrt3)}}=\sqrt{2+\sqrt3}}\sqrt{2-\sqrt3}=

=\sqrt{(2+\sqrt3)(2-\sqrt3)}=\sqrt{4-3}=\sqrt{1}=1


yugolovin: Идеальное решение. Вопрос может быть только к автору задания. Зачем он поместил эту задачу в категорию Геометрия?
eleonaise: Было б идеальное если бы это сделал сам автор, а не калькулятор...
Аноним: Здравствуйте, можете помочь с последним вопросом пожалуйста
Вас заинтересует