• Предмет: Алгебра
  • Автор: Аноним
  • Вопрос задан 3 года назад

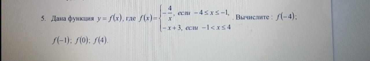
Помогите пожалуйста!

Приложения:

Ответы

Ответ дал: ivankorobejnikov74
1

Ответ:

.............................................

Приложения:
Вас заинтересует