• Предмет: Математика
  • Автор: pavlovskys
  • Вопрос задан 3 года назад

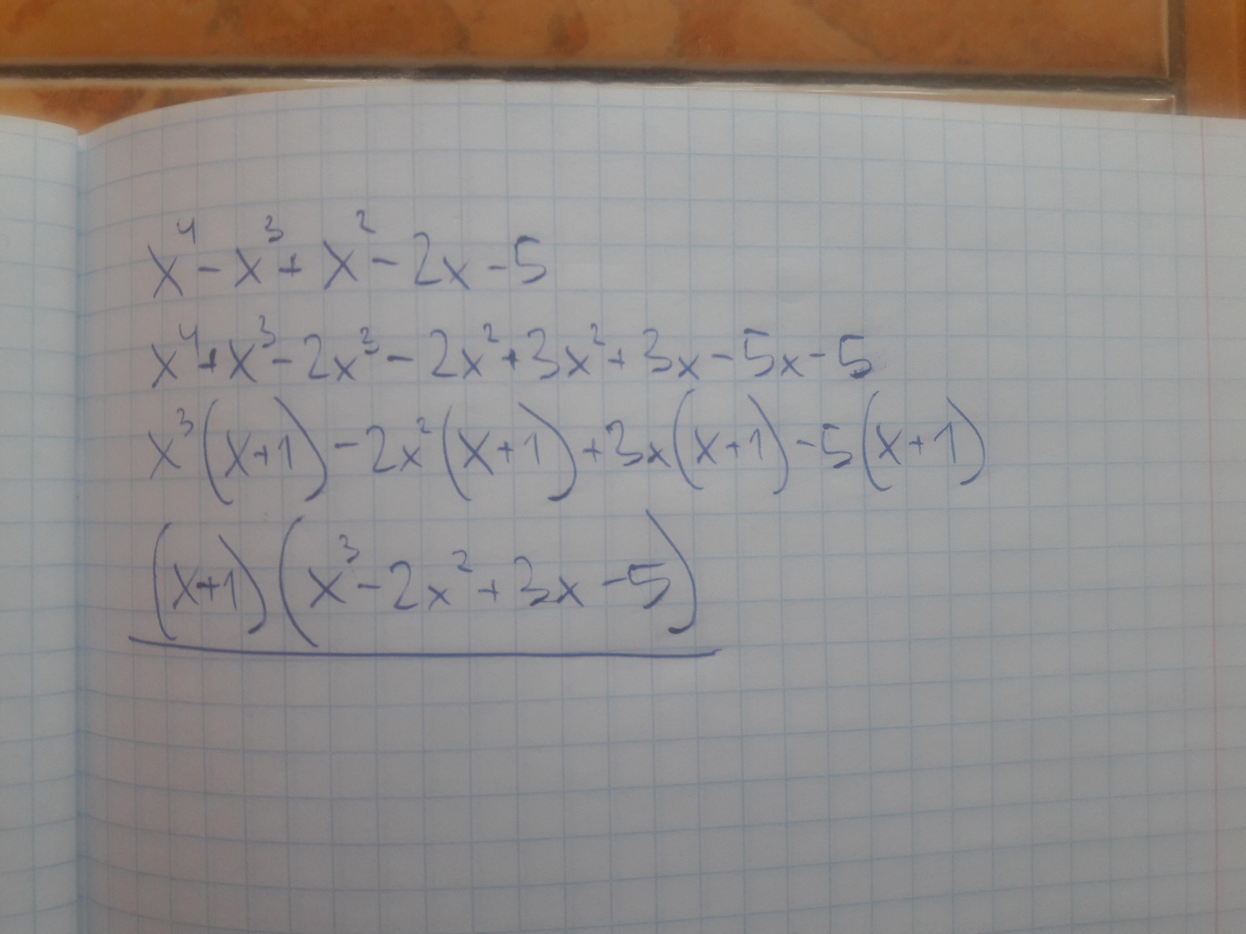
Разложить на множители многочлен x^4 - x^3 + x^2 - 2 x - 5

Ответы

Ответ дал: DeadENDD
0

////////////////////////

Приложения:

pavlovskys: А далее уже не разложить никак на многочлены 1-ой степени?
Вас заинтересует