Ответы
Ответ дал:
1
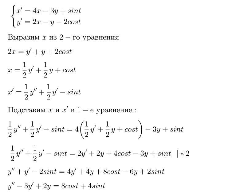
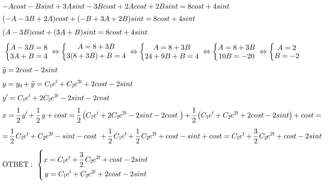
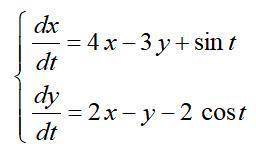
Решение во вложении...............
Приложения:



Вас заинтересует
2 года назад
2 года назад
7 лет назад
7 лет назад
9 лет назад
9 лет назад