• Предмет: Математика
  • Автор: Popopopopopopopopo1
  • Вопрос задан 3 года назад

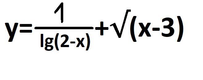
Найдите область определения функции:

Приложения:

Ответы

Ответ дал: mlmbx59879
0

Пошаговое объяснение:

log(2−x)больше чем 0, чтобы выяснить, где определено данное выражение.2-х>0

Вычтем

2 из обеих частей неравенства.−x>−2

Умножаем каждый член в −x>−2 на −1

не остановлюсь подробно но ответ будет х<2)

y=1

log(2−x)+√x−3

Положим аргумент в

log(2−х) больше 0, чтобы выяснить, где определено данное выражение.2−x>0

Решим относительно

x

х<2

Положим подкоренное выражение в √x−3 больше

или равно 0, чтобы выяснить, где определено данное выражение.x−3≥0

Прибавим

3 к обеим сторонам уравнения.x≥3

Приравняем знаменатель в

1log(2−x) к 0, чтобы выяснить, где не определено данное выражение.

log(2−x)=0

Если x и b являются положительными вещественными числами и bb≠, то 1 эквивалентно logb(x)=y10⁰=2−x

x=1

Областью определения выражения являются все вещественные числа, кроме тех, при которых выражение не определено. В данном случае нет вещественных чисел, при которых выражение было бы определено.

Нет решения

Вас заинтересует