• Предмет: Математика
  • Автор: anastasiarybalko5
  • Вопрос задан 3 года назад

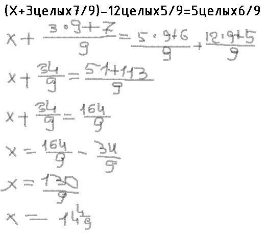
(Х+3целых7/9)-12целых5/9=5целых6/9


AlexArdguna: На сайте есть функции, что бы записать это нормально.

Ответы

Ответ дал: teterinavaleriia
1

Ответ в фотке:

=============

Приложения:
Ответ дал: lakOR555
0

Ответ:

14 целых 4/9

Пошаговое объяснение:

Приложения:
Вас заинтересует