Ответы
Ответ дал:
1
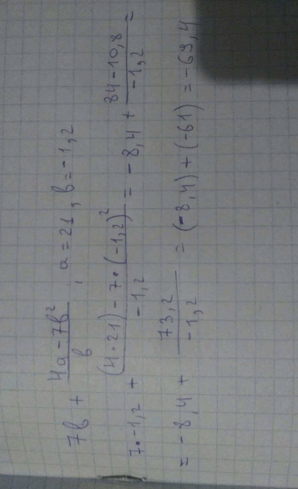
как я понял нужно было просто подставить значения и получилось вот это))
Приложения:

Ответ дал:
1
Ответ:
84. Если я правильно решила
Приложения:

Вас заинтересует
2 года назад
2 года назад
2 года назад
7 лет назад
9 лет назад
9 лет назад