• Предмет: Алгебра
  • Автор: marikalinich
  • Вопрос задан 3 года назад

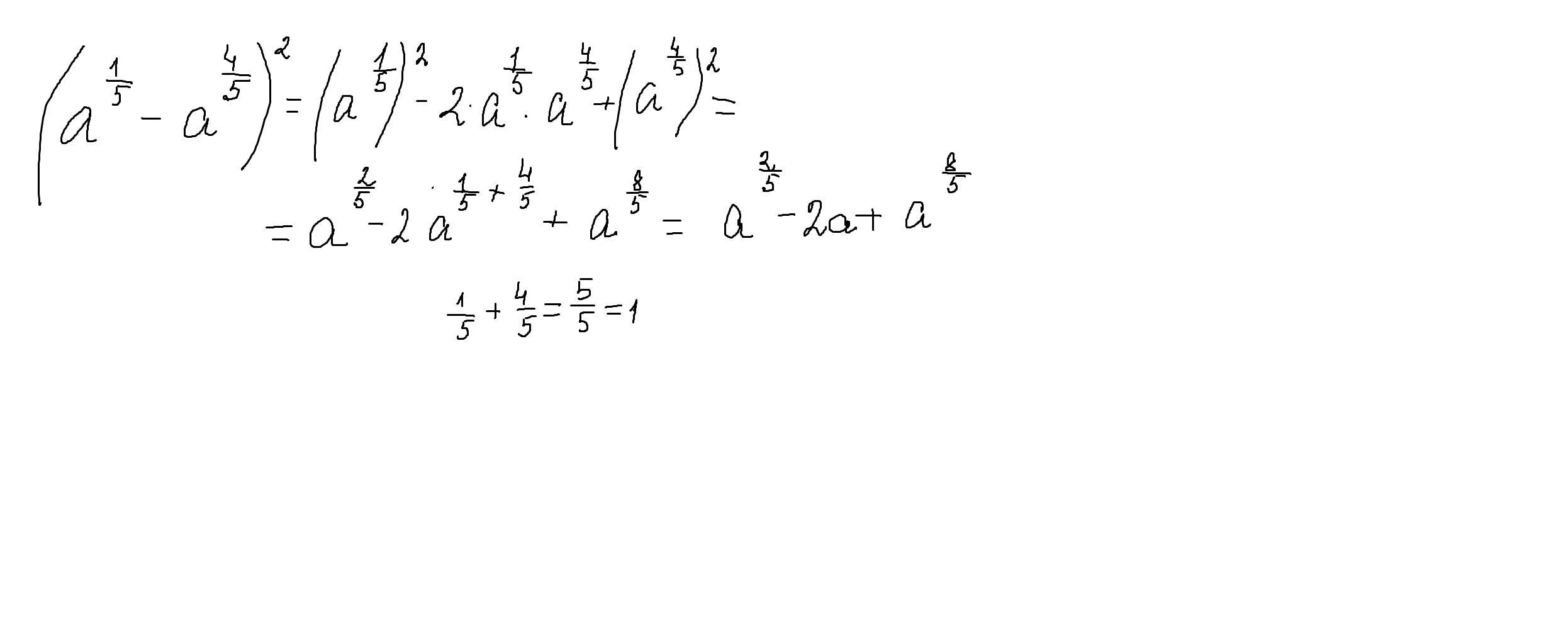
С помощью формул сокращённого умножения Решите пример, алгебра 10 класс

Приложения:

Ответы

Ответ дал: parus77
0

Ответ:

Объяснение:

решение внизу

Приложения:
Вас заинтересует