• Предмет: Алгебра
  • Автор: olga2333
  • Вопрос задан 3 года назад

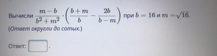
Помогите пожалуйста

Приложения:

Ответы

Ответ дал: kosovakata369
0

Ответ:

 \frac{1}{?16}

или 0,062 округлым до сотых =0.06

Вас заинтересует