Найти f(-2),f(-1),f(0),f(1),f(2) функция представлена на рисунке пожалуйста очень срочно
Приложения:

Ответы
Ответ дал:
1
Ответ:
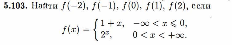
1) -1
2) 0
3) 1
4) 2
5) 4
Объяснение:
1) f(-2) = -1, так как -2 меньше или равно 0, поэтому считаем первую функцию - 1+х. х = -2 тогда 1+(-2)=-1
2) f(-1) = 0 так как -1 меньше или равно 0, считаем 1+х при х = -1 и получаем 1+(-1) = 0
3) f(0)=1 так как 0 меньше или равно 0, считаем 1+х при х=0 и получаем 1
4) f(1) = 2, так как 1 больше 0, и для неё мы считаем при х=1 и получаем 2
4) f(2) = 4, так как 2 больше 0, и для неё мы считаем при х=2 и получаем 4
Вас заинтересует
2 года назад
2 года назад
2 года назад
2 года назад
7 лет назад
7 лет назад
9 лет назад
9 лет назад