• Предмет: Физика
  • Автор: ilindanil221
  • Вопрос задан 3 года назад

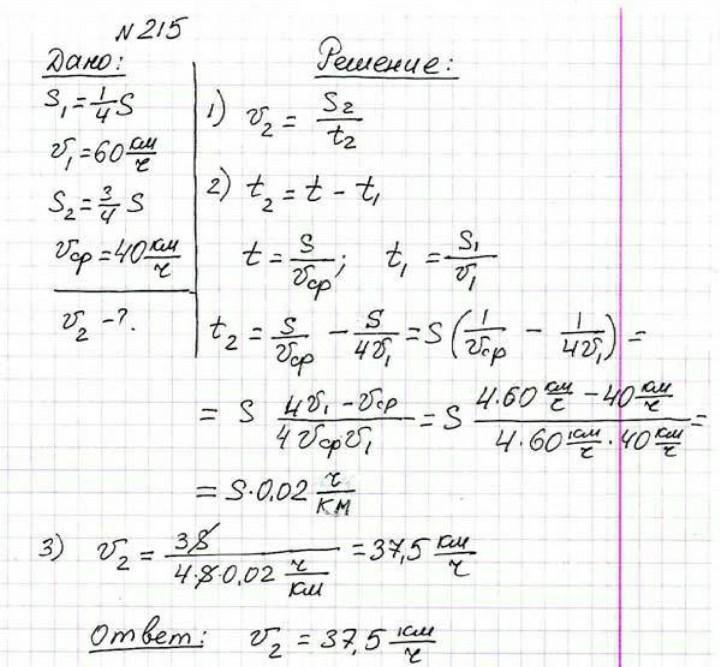
Автомобиль 1/4 пути проехал со скоросью 60 км/ч следующие 2 участа пути со скоростю 100 км/ч последнюю часть со скоростью 80 км/ч

Ответы

Ответ дал: Zallmory
0

Ответ:

В где вопрос то? ммммммм

Ответ дал: vil781884
0

Ответ:

ответ 37,5 км/ч......

Приложения:
Вас заинтересует