• Предмет: Алгебра
  • Автор: boniboni72
  • Вопрос задан 3 года назад

Виконайте множення (Выполните умножение)

Приложения:

Ответы

Ответ дал: karasuno8
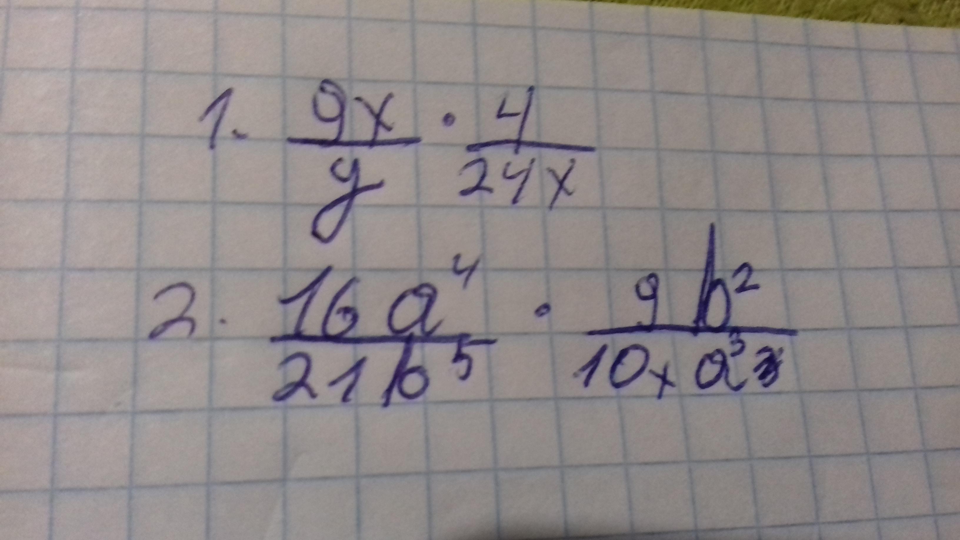
1

Ответ:

1) 3/2у

2) 24а/35б^3

Объяснение:

Почерк немного не понятный

В 1) 9х/у × 4/24х

2) 16а^4/21б^5 × 9б^2/10а^3

Если условие такое,то ответ верный


NNNLLL54: не 21, а 24 ...
karasuno8: Опечатка,извиняюсь
NNNLLL54: можете исправить
Ответ дал: NNNLLL54
1

\dfrac{9x}{y}\cdot \dfrac{4}{24x}=\dfrac{9x}{y}\cdot \dfrac{1}{6x}=\dfrac{3}{2y}\\\\\\\dfrac{16a^4}{21b^5}\cdot \dfrac{9b^2}{10a^3}=\dfrac{16a^4\cdot 9b^2}{10a^3\cdot 21b^5}=\dfrac{8a\cdot 3}{5\cdot 7b^3}=\dfrac{24\, a}{35\, b^3}

Вас заинтересует