• Предмет: Математика
  • Автор: raimzanovagula3
  • Вопрос задан 3 года назад

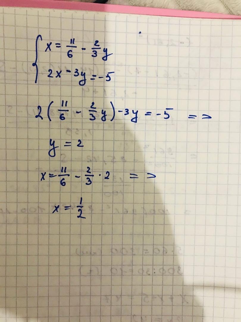
{2x-3y=-5
{3x+2y=5,5
помогите пожалуйста ​

Ответы

Ответ дал: kovalskayaviktoriya
0

Ответ:

(x;y)=(1/2;2)

Пошаговое объяснение:

Приложения:
Вас заинтересует