• Предмет: Алгебра
  • Автор: mashamilka743
  • Вопрос задан 3 года назад

Помогите пожалуйста решить, а то вообще в это не вникаю...

Приложения:

Ответы

Ответ дал: Universalka
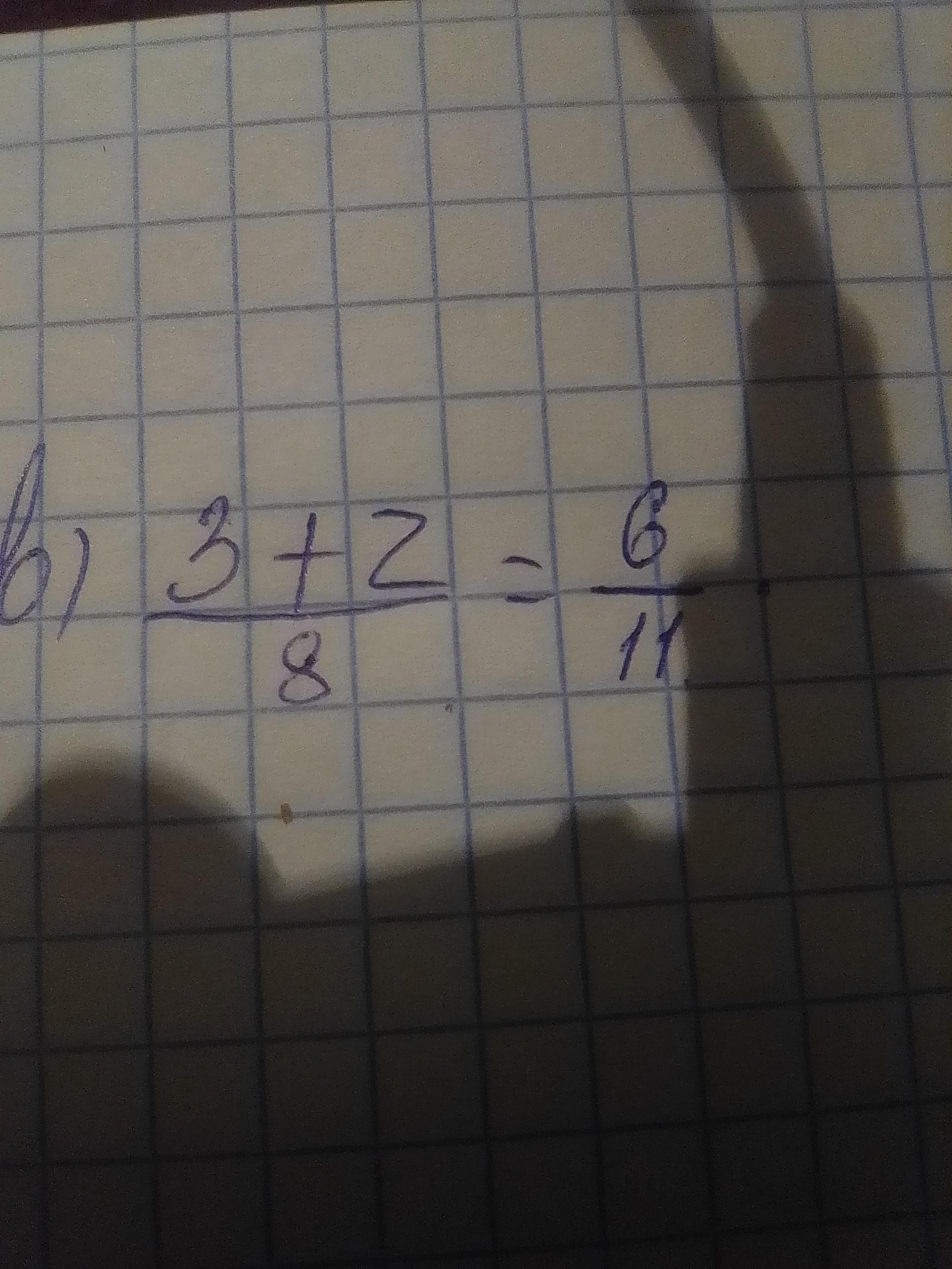
1

\frac{3+z}{8}=\frac{6}{11}\\\\(3+z)*11=8*6\\\\33+11z=48\\\\11z=15\\\\z=1\frac{4}{11}

Вас заинтересует