• Предмет: Алгебра
  • Автор: ivsazonov
  • Вопрос задан 3 года назад

Помогите пж подробне пожалуйста

Приложения:

Ответы

Ответ дал: mubarakovadd345
0

Ответ:

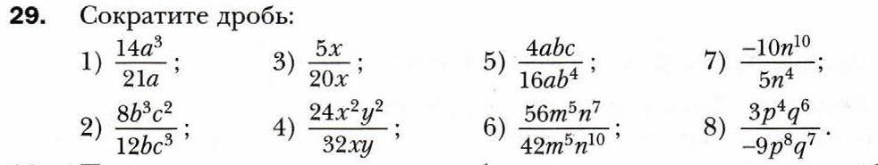
14а³/21а=14а²/21=2а²/3

2)8b³c²/12bc³=8b²c²/12c³=8b²/12c=2b²/3c

Объяснение:

дальше мне лень надеюсь поймешь))?

Ответ дал: studentka2608
0

Ответ:

1) 2а^2/3

2) 2b^2 /3c

3) 1/4

4) 3xy/4

5) 1c/4b^3

6) 4/3n^3

7) -2n^6

8) 1/-3p^4 q

Объяснение:

/ это дробь

^ степень.

Вас заинтересует