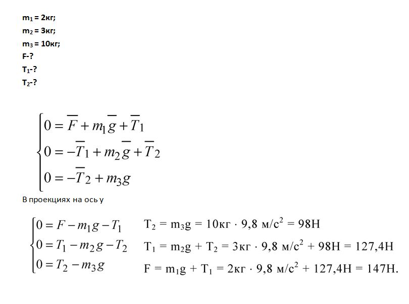
Три тела массами 2, 3 и 10кг последовательно связаны нитями повертикали. Какую силу (в Н) надо приложить к верхнему телу, чтобы равномерноподнимать все тела вверх?Какой будет сила натяжения нитей?
Ответы
Ответ дал:
0
см вложение
=========================================
=========================================
Приложения:
Вас заинтересует
3 года назад
8 лет назад
11 лет назад
11 лет назад