• Предмет: Алгебра
  • Автор: Аноним
  • Вопрос задан 3 года назад

Запиши произведение в виде степени: 
-125b ^{-18}  {c}^{30}

Ответы

Ответ дал: dtnth
24

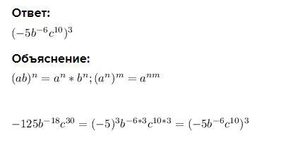
Ответ:

(-5b^{-6}c^{10})^3

Объяснение:

(ab)^n=a^n*b^n; (a^n)^m=a^{nm}

-125b^{-18}c^{30}=(-5)^3b^{-6*3}c^{10*3}=(-5b^{-6}c^{10})^3

Приложения:

Аноним: спс
dambaevainkar09: спасибо огромноеее, все правильно. ты мне помог(-ла)
Аноним: неправильно
Аноним: все правильно ду ра чок
aruzanmuhangali1: правильно или нет?
zulyarzaynalov055: нет
zulyarzaynalov055: ответ (-5b
bbbking03: ответ -5д
whitediamond123: Вsё правильно sпаsибо большое!
960225400782iin: Там в вариантах ответа два раза встречается начало -5b. А верен всего один (–5b –6c10)3
Вас заинтересует