Ответы
Ответ дал:
2
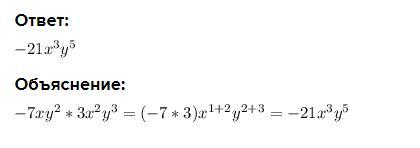
Ответ:
Объяснение:
Приложения:

Аноним:
Привет
Вас заинтересует
2 года назад
2 года назад
2 года назад
2 года назад
7 лет назад
7 лет назад
9 лет назад