• Предмет: Алгебра
  • Автор: dilnazegizbaeva7
  • Вопрос задан 3 года назад

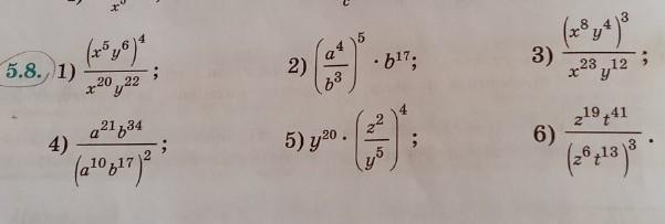
упростите
помогите пожалуйста прошу ​

Приложения:

Ответы

Ответ дал: serovaksusa1
0

Ответ:

Смотри решение на фото

Приложения:

dilnazegizbaeva7: сфотойте по аккуратно
serovaksusa1: так пойдёт?
serovaksusa1: из большей степени вычитаешь меньшую, и там где степень больше, ставишь в Числитель или в знаменатель число
Вас заинтересует