Ответы
Ответ дал:
6
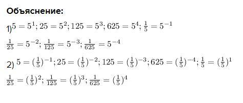
Объяснение:
1)
2)
Приложения:

Вас заинтересует
2 года назад
2 года назад
7 лет назад
7 лет назад
9 лет назад