• Предмет: Алгебра
  • Автор: ds7924110
  • Вопрос задан 3 года назад

помогите пожалуйста​

Приложения:

Ответы

Ответ дал: ekaterina77961
0

Ответ:

Объяснение:

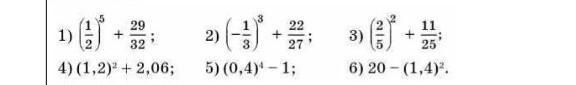
1) 1/32 + 29/32 = 30/32 = 15/16

2) 1/27 + 22/27 = 23/27

3) 4/25 + 11/25 = 15/25 = 3/5

4) 1.44 + 2.06 = 3.5

5) 0.0256 - 1 = -0.9744

6) 20 - 1.96 = 18.04

Вас заинтересует