• Предмет: Математика
  • Автор: Аноним
  • Вопрос задан 3 года назад

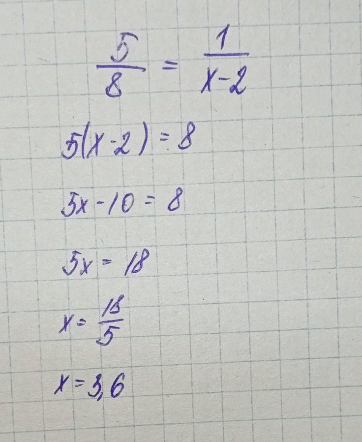
Срочно пожалуйста помогите!!!! Найди в х пропорциях 5/8=1/х-2 Пожалуйста!!!!

Ответы

Ответ дал: Roman0030
2

Пошаговое объяснение:

По основному свойству пропорции умножили крайние члены на средние, получили линейное уравнение с одной переменной

Приложения:

aminazabaeva072: ответ:3,6
Вас заинтересует