• Предмет: Алгебра
  • Автор: vikas1986
  • Вопрос задан 3 года назад

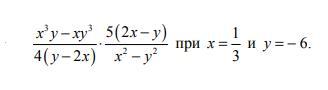
Найдите значение выражения.решите пж

Приложения:

Ответы

Ответ дал: KtoYaTakoy1
1

Ответ:

5/2 или 2,5

Объяснение:

 \frac{xy(x ^{2} - y^{2}) }{4( - (2x - y))}  \times  \frac{5(2x - y)}{x^{2} - y^{2}  }

сокращаем:

 -  \frac{5xy}{4}

подставляем:

 -  \frac{5 \times  \frac{1}{3}  \times ( - 6)}{4}

 -  \frac{5 \times  (- 2)}{4}

Вас заинтересует