• Предмет: Алгебра
  • Автор: velibekova06
  • Вопрос задан 3 года назад

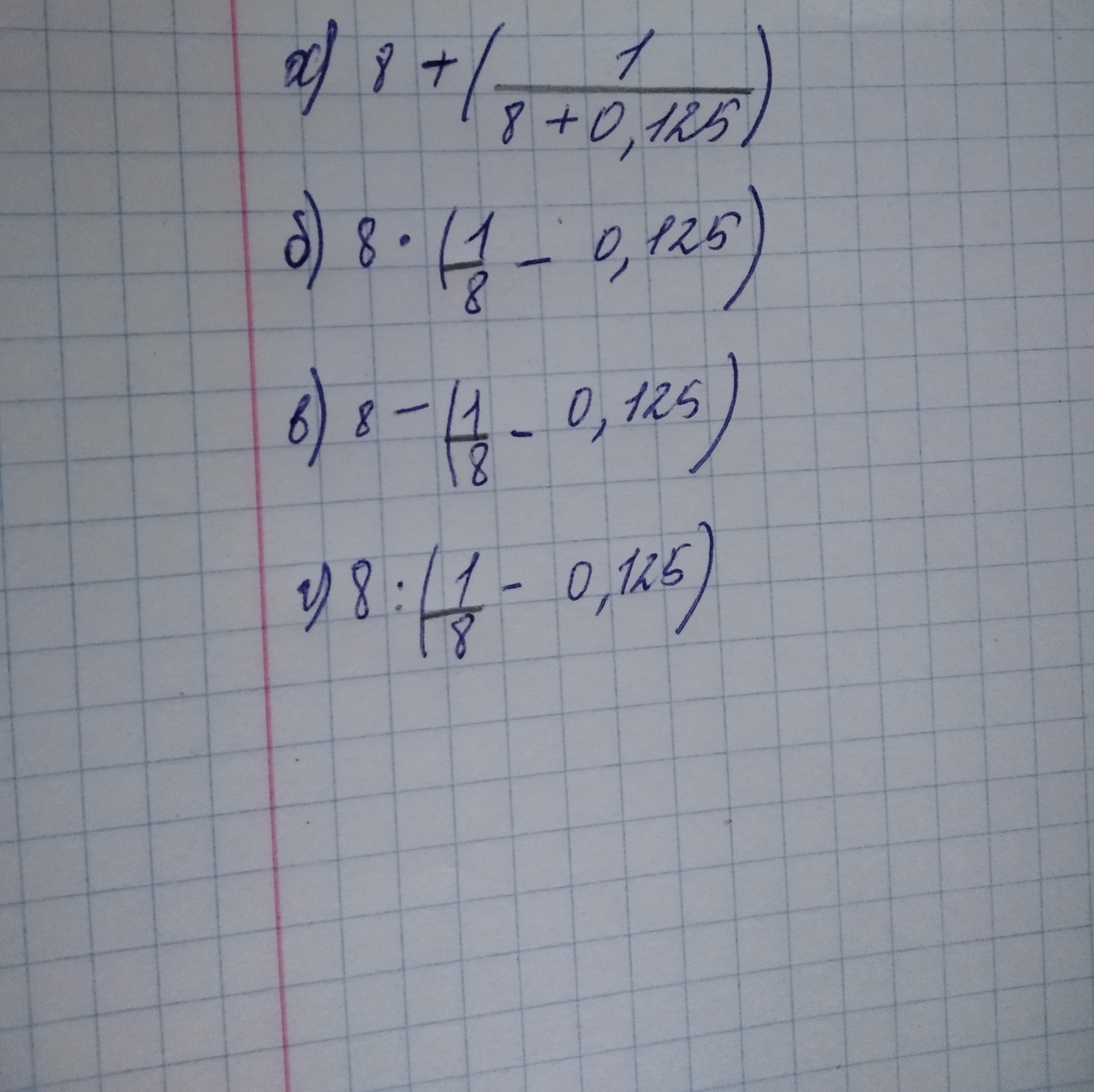
Какие выражения не имеют смысла? Срочно пожалуйста!

Приложения:

Ответы

Ответ дал: manyny06
1

Ответ:

Объяснение:

выражение г) не имеет смысла т.к,.( 0.125 = 1/8 )

8 : (1/8 - 0.125) = 8 : 0 - не имеет смысла


velibekova06: А остальные выражения?
Вас заинтересует