• Предмет: Алгебра
  • Автор: professormedvezonok
  • Вопрос задан 3 года назад

пожалуйста помогите решить систему уравнений с методом постановки :

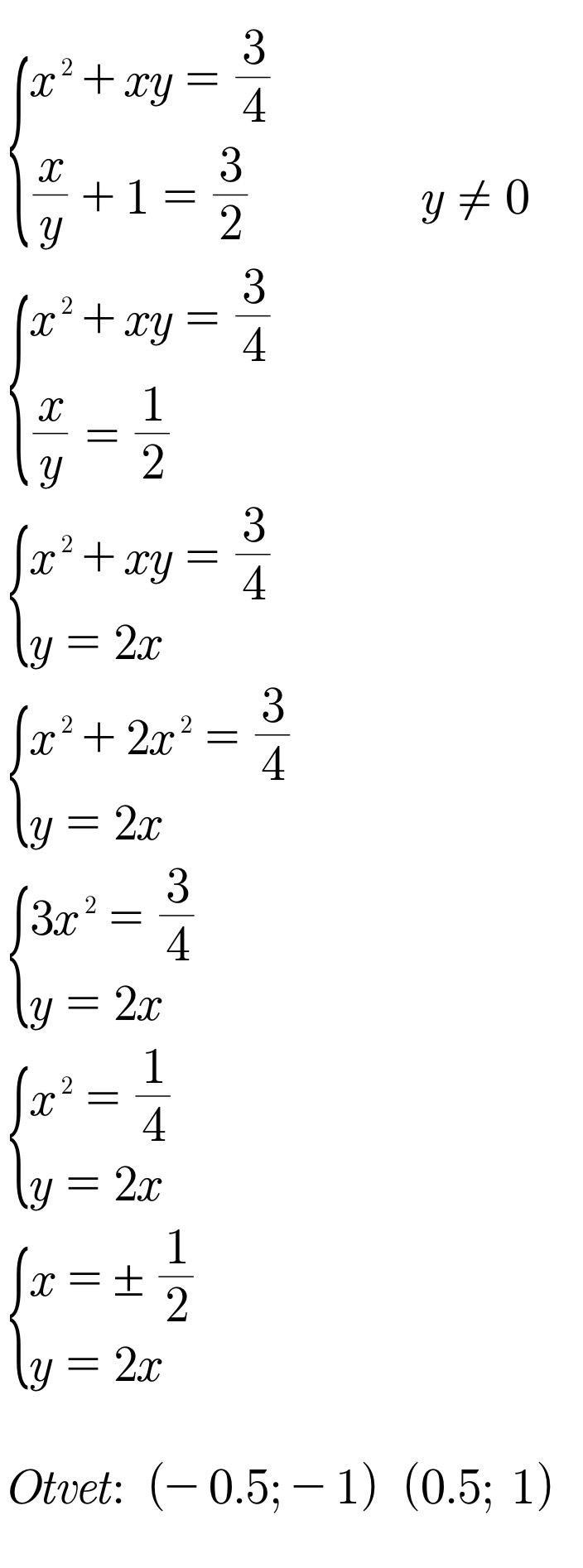
Приложения:

Ответы

Ответ дал: tamarabernukho
1

Ответ:

Объяснение:

........................................................................

Приложения:
Вас заинтересует