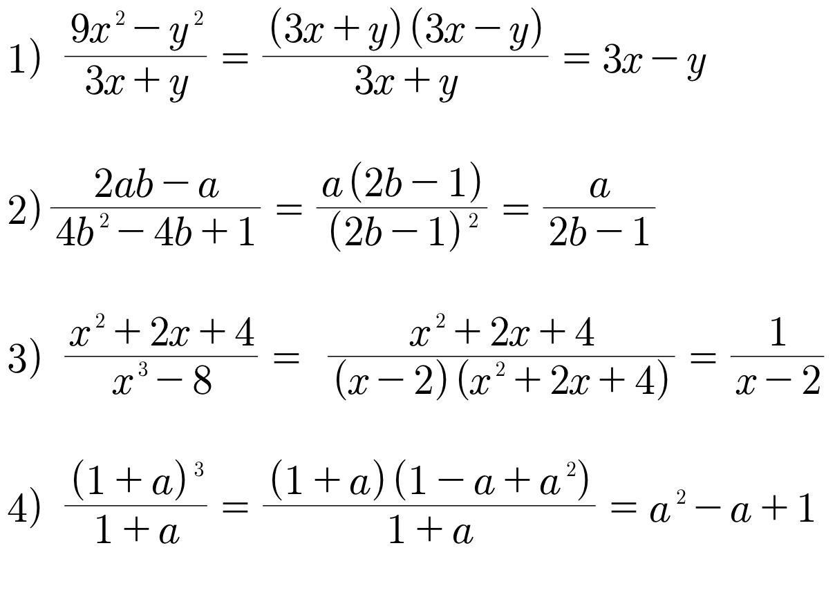
50 баллов 1)(9x^2-y^2) / (3x+y) 2) (2ab-a) / (4b^2-4b+1) 3) (x^2+2x+4) / (x^3-8) 4) (1+a^3) / (1+a) если можно с решением
Ответы
Ответ дал:
0
Ответ:
Объяснение:
........................................................
Приложения:

Вас заинтересует
2 года назад
2 года назад
2 года назад
2 года назад
7 лет назад
9 лет назад