• Предмет: Алгебра
  • Автор: skenkyzyb
  • Вопрос задан 3 года назад

Помогите пожалуйста​

Приложения:

Ответы

Ответ дал: tamarabernukho
1

Ответ:

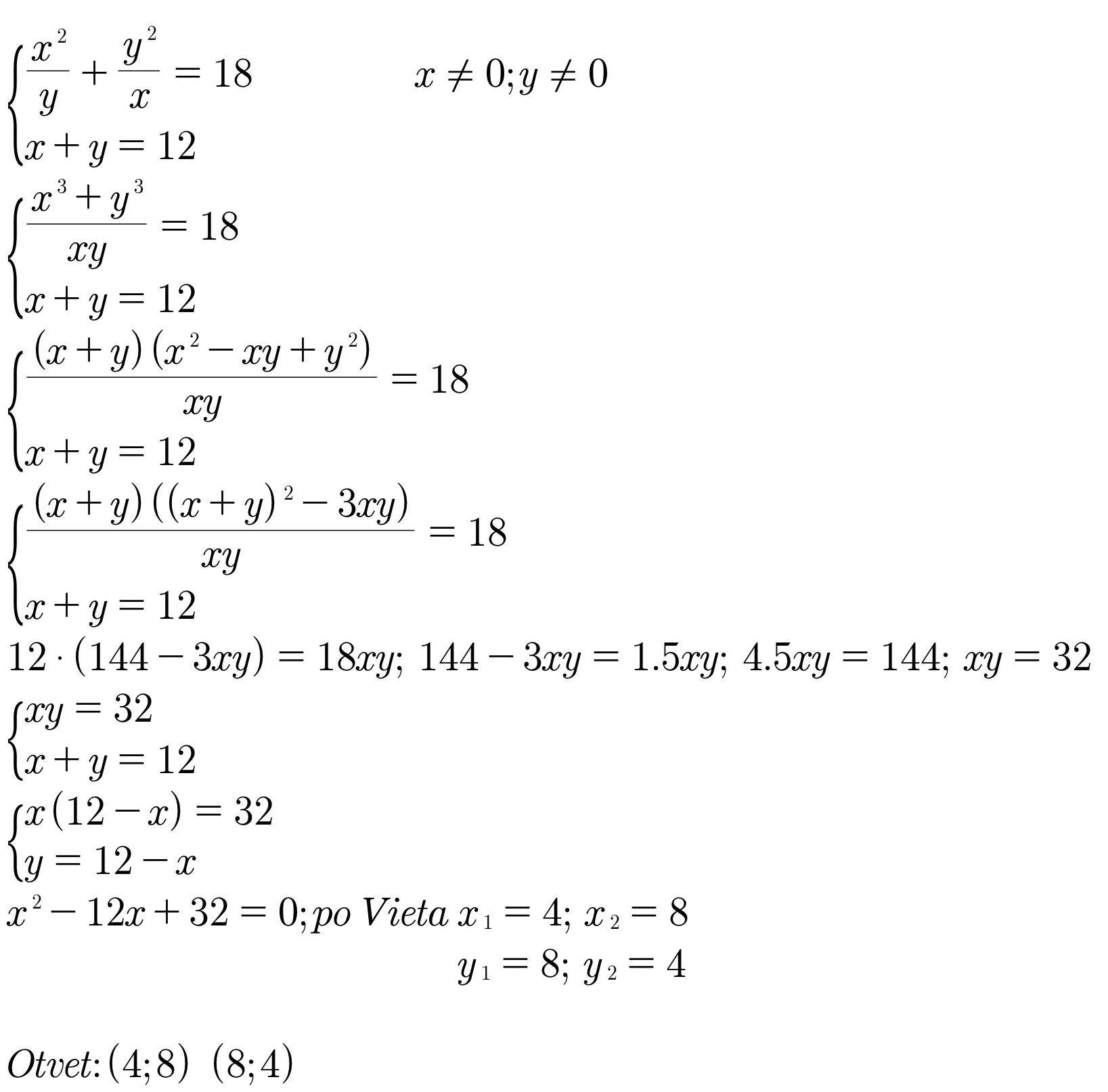
(4;8) (8;4)

Объяснение:

.................................................................

Приложения:
Вас заинтересует