• Предмет: Алгебра
  • Автор: vasilinatulkina
  • Вопрос задан 3 года назад

Помогите пожалуйста, отдаю вам 100 баллов.

Приложения:

Ответы

Ответ дал: tamarabernukho
0

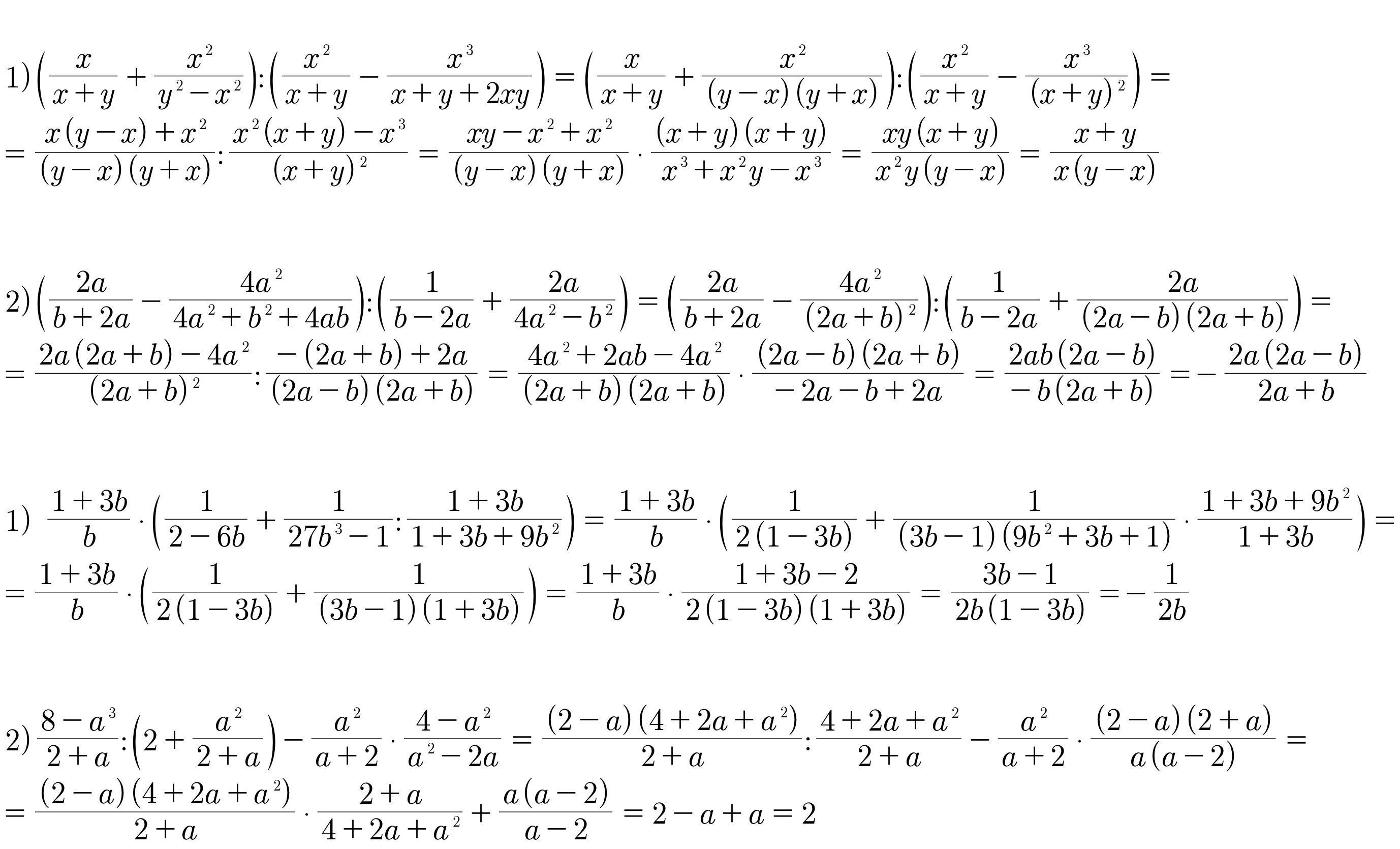
Ответ:

Объяснение:

......................................................................

Приложения:
Вас заинтересует