• Предмет: Математика
  • Автор: vvgg1117
  • Вопрос задан 3 года назад

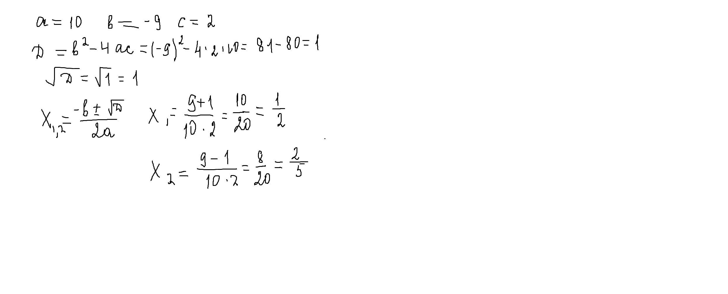
Решите квадратное уравнение 10x2-9x+2=0

Ответы

Ответ дал: parus77
0

Ответ:

х1=1\2      х2=2\5

Пошаговое объяснение:

решение внизу

Приложения:
Вас заинтересует